Back |

Test page

Understanding the composition and functionality of carbohydrates is essential for developing high-quality food, biotech, and healthcare products. Carbexplore is the leading expert in elucidating the molecular characterization of carbohydrates. Contact us to find out how we can solve the structure of any carbohydrate you provide us with.

Contact us

Let’s discuss how our analysis can support your project

Case study

Carbohydrate impurity analysis

Client request: To complete the dossier for regulatory approval, characterize the structure and identity of minor impurities found in a Human Milk Oligosaccharide product manufactured through microbial fermentation.

How we solved it: We tediously and accurately isolated the minor components from the product mixture and used our routine analytical techniques to solve the problem. By performing monosaccharide constituent analysis, linkage analysis, NMR, and size distribution analysis, we elucidated the structure of the unknown carbohydrates.

Result: Through our support, the client completed the analytical dossier for EFSA approval. This important step marked a critical milestone, after which the product launch was initiated.

View the case
"Comprehensive carbohydrate analysis is the cornerstone of innovation in our field. It provides essential insights needed to design novel carbohydrates and tailor enzymes with precision, ultimately leading to breakthroughs in food, biotech and healthcare applications."

Prof. Dr. Lubbert Dijkhuizen CEO

How we work

Our process

At CarbExplore, we offer specialized services in carbohydrate research and development. From first introduction to the final presentation, this is what our collaboration looks like:

1

Intake meeting

During the intake meeting, the business developer and the carbohydrate analytical expert will discuss the challenges you face in great detail. Besides your needs and research question, we also inquire about sample composition, the amount you can deliver, and the origin of the sample.

2

Receive the offer

Next, you will receive a project proposal tailored to your unique needs. It describes the activities to be performed during the project, as well as deliverables and the project timeline. Work and reporting are quoted by the hour, and costs are calculated for consumables and project management.

3

Kick-off and analysis

It's time to kick off the project and do the work. During the kick-off meeting, we display the experimental setup and a detailed timeline until you receive the results. Scroll further to see what analytical methods our carbohydrate expert employs to solve your problems.

4

Final report discussion

The work is done and the results are captured in a report. We present the final results, either online or in-person, where you directly interact with the scientist involved in the project. This way, we fully ensure you have the answer to your question, and take your project to the next step.

What we offer

When it comes to fully characterizing or visualizing the carbohydrate you work with, no two projects are the same. Discover what analytical techniques we employ to solve your question. Each technique is a piece of the puzzle that leads to full chemical characterization of your sample.

Monosaccharide composition analysis

The first step in characterizing an unknown carbohydrate is identifying the monosaccharide constituents within the sample. To differentiate between mono-, oligo-, and polysaccharides, we perform a free monosaccharide determination using HPAEC-PAD analysis. Next, we perform this determination again, but after hydrolyzing the sample. The ratios tell us which monosaccharides build up the polymer and which do not.

CTA option

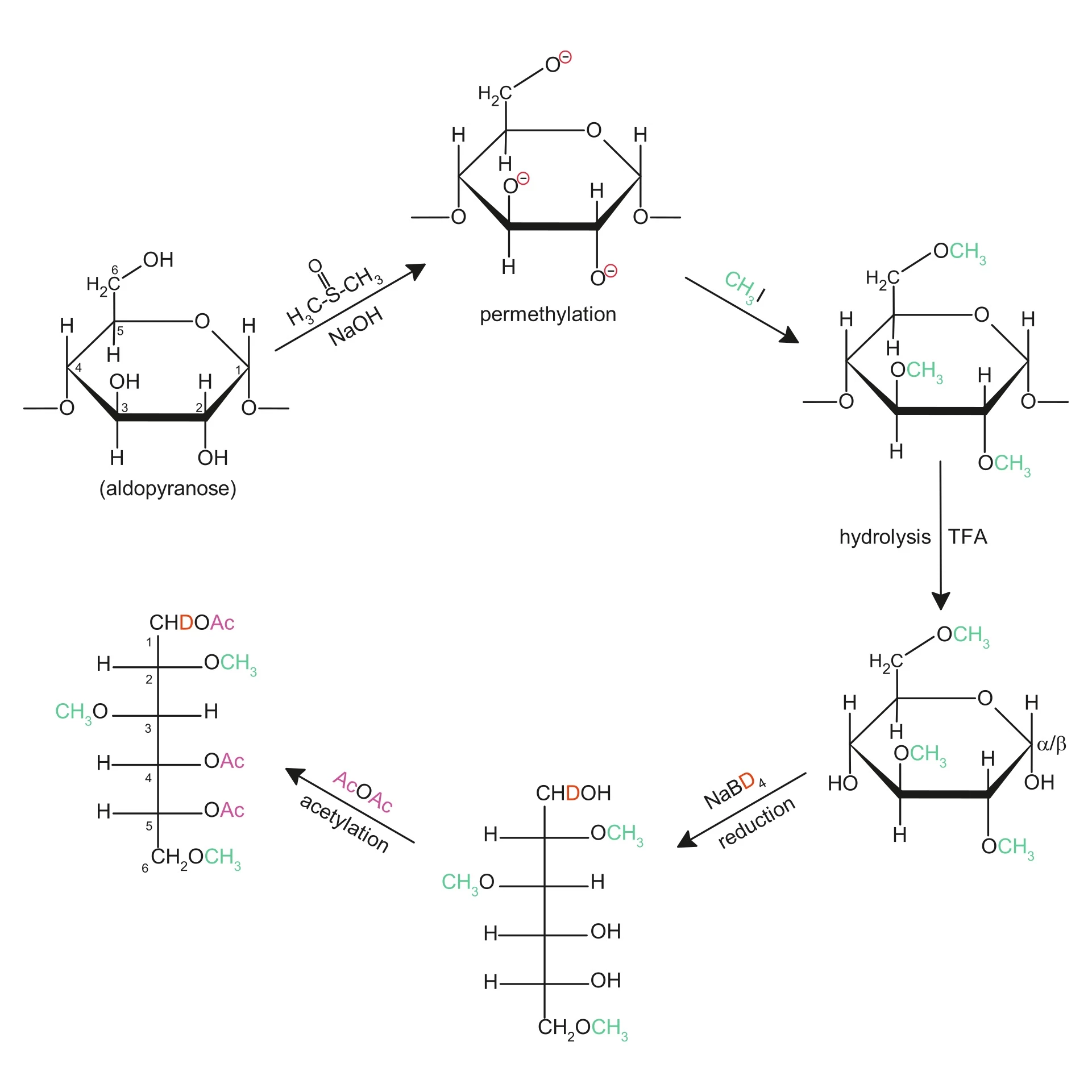
Carbohydrate linkage analysis

Perhaps the strongest predictor of the functional performance of carbohydrates is the way the monosaccharide constituents are linked. To make this insightful, we routinely perform carbohydrate linkage analysis through a variety of derivatizations, such as PMAA. The derivatized monosaccharides are analyzed through GC/MS. Every monosaccharide that is linked differently leaves a unique fingerprint in the spectrum.

NMR analysis

NMR analysis is usually used as a complementary way to support the results obtained from monosaccharide constituent analysis and linkage analysis. Through NMR, we can differentiate between the alpha- and beta-anomeric signals, and get more detail in the branching pattern of certain polysaccharides. We obtain high-resolution spectra by using a 600 MHz spectrometer.

CTA option

Molecular weight distribution analysis

Explore how the molecular weight of the carbohydrates within your sample is distributed. Are you dealing with bulky polymers or short-chain oligosaccharides? Through size exclusion chromatography, coupled to RI or MALLS, depending on the sample composition, we give insight into the length of the carbohydrates.

Electron Microscopy

Sometimes, insight is needed on carbohydrates that does not go all the way to the molecular level. When analyzing the size differences between starch types, or evaluating how carbohydrates are dispersed within barley kernels vis-à-vis proteins, visualization techniques are the way to go. We offer electron microscopy to obtain high-resolution images for quantitative evaluation.

CTA option

Looking for precise carbohydrate insights?

Our Research specialist Frits is happy to think along with you